点击右上角
微信好友
朋友圈

请使用浏览器分享功能进行分享

近日,《自然·医学》(IF=50) 发表了由广东省人民医院吴一龙教授领衔的“比较 ONC-392 与多西他赛治疗经 PD-1/PD-L1 抑制剂治疗后进展的转移性非小细胞肺癌受试者的两阶段、随机对照多中心 Ⅲ 期临床研究”PRESERVE-003第一阶段结果。该研究公布了新型CTLA-4抑制剂Gotistobart(BNT316/ONC-392)在既往接受过PD-(L)1抑制剂联合化疗后进展的肺鳞癌患者中的疗效与安全性。
晚期肺鳞癌患者的“二线困境”
肺鳞癌是肺癌的常见类型,约占所有肺癌的25%—30%。对于晚期患者来说,目前主流的一线治疗是“免疫药+化疗”的组合拳,不少人能因此延长生存期。但问题是,一旦这个组合拳失效——也就是病情进展了,后续治疗就陷入了两难。
过去20多年里,多西他赛是唯一的标准二线化疗药,患者用了之后,中位总生存期只能到8.0-9.4个月,疗效有限且毒性明显。这些年,医生和科研人员也尝试过不少新疗法,比如ADC药物、靶向药配合免疫等,但和多西他赛比起来,都没达到预期效果。简单说,晚期肺鳞癌患者一旦一线治疗失败,就面临着“没好药可用”的困境。
关键突破:这款新型抗体到底强在哪?
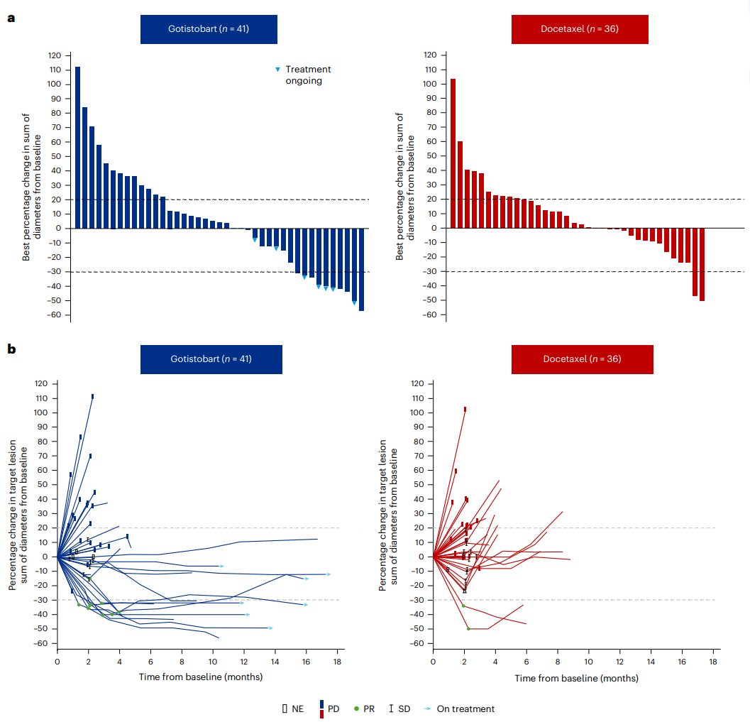
这次研究里的主角Gotistobart,是一种新型CTLA-4抑制剂。研究第一阶段纳入了87名患者,Gotistobart组45例,多西他赛组42例,随访了 14.5 个月后,结果让人惊喜:
总生存期显著延长:Gotistobart组中位OS尚未达到(95% CI 9.3个月至未评估),而多西他赛组为10.0个月(95% CI 6.2–11.9个月),风险比(HR)为0.46,死亡风险降低54%(HR=0.46,P=0.0102)。12个月OS率翻倍,Gotistobart组为63.1%,多西他赛组仅为30.3%。这意味着,每10个患者里,用新药的能多3个人活过1年。
客观缓解率提升,缓解持续时间更长:Gotistobart组的客观缓解率(ORR)为20.0%,而多西他赛组仅为4.8%。缓解持久性方面,Gotistobart的中位缓解持续时间(DoR)达11.0个月,远超多西他赛的3.8个月。尽管两组中位无进展生存期(PFS)相近(2.4个月 vs 2.6个月),但gotistobart在长期随访中呈现“尾部效应”,提示Gotistobart患者得到长期获益。
安全性可控,停药率可接受:Gotistobart组≥3级治疗相关不良事件发生率为42.2%,低于多西他赛组的48.8%。因不良反应永久停药的患者比例为13%,未发生治疗相关死亡事件。最常见的不良反应为腹泻、结肠炎和ALT升高,管理策略成熟。
目前,PRESERVE-003研究的第二阶段还在继续。作为该研究的主要研究者,吴一龙教授表示,如果第二阶段的结果和第一阶段一致,就能进一步确认Gotistobart的临床价值,有望推动它成为晚期肺鳞癌患者一线治疗失败后的新选择,打破20多年来的治疗瓶颈。(记者张梦凡 林佳欣)
